Interesting research coming out of Denmark. The next generation of solid state batteries could rock, litterally.
www.nature.com
interestingengineering.com

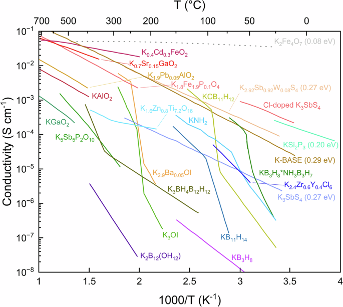
Solid-state inorganic electrolytes for next generation potassium batteries - Communications Materials
New materials and configurations are necessary to diversify battery chemistry and cell design. This Review focuses on the chemistry, fundamental properties, and status of materials in inorganic solid-state potassium electrolytes.


Rock turned into battery, new electrolyte can transform EV industry
Researchers have discovered a revolutionary battery material derived from common rock silicates, potentially replacing lithium.
